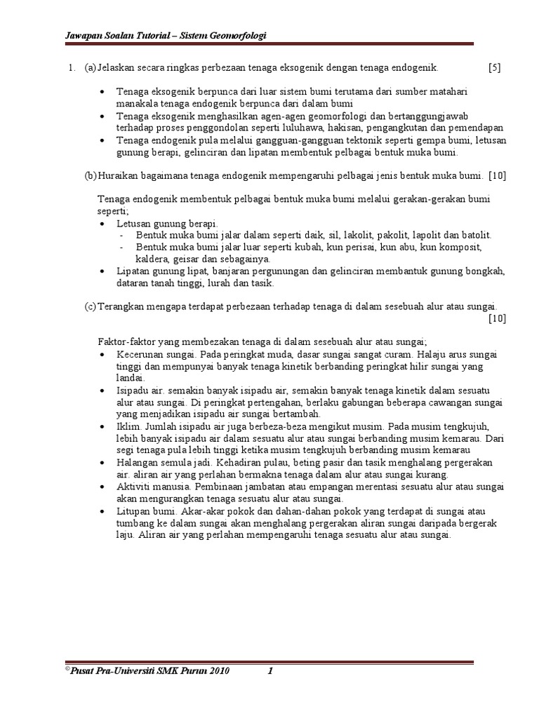
Kepentingan Bentuk Muka Bumi Pemendapan Terhadap Aktiviti Manusia Di Pinggir Pantai

Bentuk muka bumi yang pelbagai itu memungkinkan pelbagai kegiatan ekonomi dijalankan di malaysia.
Kepentingan bentuk muka bumi pemendapan terhadap aktiviti manusia di pinggir pantai. Pembinaan jeti jambatan atau pelabuhan di pinggir pantai menghalang aliran arus pesisir pantai arus laut atau kemaraan ombak. Di zon pinggir pantai yang lebih dalam serta ciri ciri geologi yang lebih keras seperti di kawasan teluk dan tanjung lebih b anyak mengalami proses proses hakisan ombak. Seperti aktiviti penurapan muka bumi pembinaan. Kepentingan bentuk muka bumi kepentingan kawasan tanah tinggi di malaysia.
Perbincangan adalah terhadap zon pinggir pantai di malaysia sahaja. Kawasan pinggir laut di pantai timur semenanjung malaysia sabah dan sarawak. Bagaimanakah aktiviti manusia dapat mempengaruhi proses pemendapan di kawasan pinggir pantai. Posted by zalina bt muhammad.
Kawasan tanah pamah dan kaki bukit yang beralun pula menggalakkan pelbagai kegiatan pertanian. 10 markah pelbagai aktiviti manusia boleh mempengaruhi proses pemndapan di pinggir pantai. Geo pengaruh bentuk muka bumi hakisan pemendapan pantai 02082012 1. Kepentingan pelbagai bentuk muka bumi terhadap aktiviti manusia.
A pusat pelancongan. Kawasan tanah tinggi kawasan tanah rendah kawasan pinggir pantai saliran peta bentuk muka bumi di asia tenggara sistem saliran di asia tenggara kepentingan tanah tinggi. Pinggir pantai yang berteluk teluk menggalakkan kegiatan perikanan dijalankan. Download download geomorfologi pinggir pantai pdf writer read online read online geomorfologi pinggir pantai pdf writer pinggir pantai geografi stpm kesan tsunami ke atas geomorfologi pinggir pantai kepentingan bentuk muka bumi pemendapan terhadap aktiviti manusia di pinggir pantai faktor hakisan pantai konsep pinggir pantai bentuk muka bumi yang terhasil daripada proses hakisan pinggir.
Di negara malaysia dan negara lain umumnya bentuk muka bumi di sesuatu kawasan terbahagi kepada. Kawasan tanah tinggi dan pinggir laut sesuai untuk aktiviti pelancongan.